
【盘考配景】
电解液组分联想调控是一种十分灵验的平稳锂金属负极的策略。为了幸免精深的试错本质,需要对分子构型进行精采地联想调控,身手高效地杀青溶剂、盐和添加剂的筛选。基于此,斯坦福大学鲍哲南院士、崔屹院士、秦健阐扬团队在Chem. Sci.上发表题为“Hyperconjugation-controlled molecular conformation weakens lithium-ion solvation and stabilizes lithium metal anodes”的盘考论文,作家模拟通过对非氟醚的系统盘考,发现短链缩醛由于超共轭而倾向于间扭式的分子构型,这导致与Li+的单齿配位减轻,权贵晋升了锂金属负极的轮回平稳性。在无负极Cu//LFP软包电板中,4mA cm-2电流密度下不错平稳轮回70-100次,高负载LFP//薄锂纽扣电板中可平稳轮回200-300次。
【图文导读】
图1 LMB电板电解液溶剂化结构设战略略。在电解液联想中,溶剂氟化已被证明不错灵验地调度溶剂的路易斯碱度,从而调度溶剂的溶剂化智商。可是,氟化有机分子靠近着本钱、环境问题和毒性等潜在问题。因此,缔造更多的分子联想旨趣是很特意旨的。本文提倡了一种新的分子设战略略,作家使用溶剂分子构象来诊治Li+溶剂化结构和电解质反馈性。乙二醇醚在两个O-CH2键之间有一个相对无邪的二面角,这使得与Li+的双齿螯合成为可能。相背,缩醛由于超共轭作用,有意于O-CH3和O-CH2键之间的间扭式构象,从而导致与Li+的弱单齿配位(图1a)。作家通过盘考二甲氧基甲烷(DMM)和二氧基甲烷(DEM)的溶剂化活动来证明这一策略。假定缩醛是弱单齿配体,因为(1)由于两个氧之间的距离贬低,螯合的平稳成果贬低(图1a);(2)由于超共轭的分子构象(图1b)导致每个氧上的电荷密度标的相背,并显着贬低了与Li+的螯合(图1a)。先前的盘考据实了纯DMM和DEM的构象,可是,当今尚不清爽Li+配位是否会转换它们的构象。因此,作家使用密度泛函表面(DFT)计算来详情溶剂化壳表里的最好溶剂构象(图1c-e)。
图2 0.9 M和3M LiFSI在缩醛(DMM和DEM)和乙二醇醚(DME和DEE)中的静态溶剂化结构的本质和计算表征。如图2所示,较高的ΔμLi+与较弱的Li+溶剂化相干。作家发现,关于0.9 M和3 M的LiFSI,ΔμLi+的加多章程为DME < DEE < DMM < DEM(图2a),阐明DMM和DEM对Li+的溶剂化作用较弱。通过拉曼光谱推断的离子相互作用进度阐明了ΔμLi+的不雅测终结。如图2b所示,其中700和760 cm−1之间的峰对应于多样溶剂化环境下的FSI−。相干于溶剂分离离子对(SSIP),向更高的波数出动标明交游离子对(CIP)和离子聚会(AGG)的比例更大。此外,进行了全原子分子能源学(MD)模拟,以提供里面溶剂化壳的详确视图(ESI图S2†)。当配位FSI−的数目为0、1或≥2时,Li+溶剂化壳被分类为SSIP、CIP或AGG(图2c)。凭证MD终结,作家进一步推断了Li+周围配位溶剂和FSI−的平均密度。密度被界说为每个配体(如二甲醚)与中心金属离子(如Li+)结合的供体基团(如O原子)的数目。在0.9 M和3 M LiFSI下,DME和DEE的平均密度王人高于DMM和DEM(图2d),这与作家通过NMR和DFT展望的单齿DMM和DEM相干于双齿DME和DEE的终结一致(图1)。
图3 0.9 M和3 M LiFSI在DMM和DEM中的电化学平稳性。缩醛电解质的Li//Cu半电板性能如图所示,DMM和DEM中的0.9 M和3M LiFSI明显优于3M LiFSI/DEE(图3a)。值得留意的是,DMM中的0.9 M和3 M LiFSI诀别在5和3个轮回内达到了> 99% CE。这关于无负极LMB来说口舌常理思的,但它已往只在含氟溶剂的电解质中不雅察到。比较之下,3 M LiFSI/DEM和DEE诀别在19次和45次轮回后达到了> 99% CE(图3a)。它们的寂静激活会导致运转轮回中锂库存的快速归天。第50次轮回后计算的五种电解质的平稳平均CE均在99%以上,其中3M LiFSI/DMM最高,达到99.5%(图3b)。
与室温比较(图3c),两种缩醛电解质在-20°C时的CE更高,尽管变化略大(图3d)。CE的加多可能是由于低温下能源学阻碍的副反馈。作家使用Li//Al电板进行线性扫描伏安法(LSV)。在4.4 V以下,缩醛电解质的走电流莫得急剧加多(图3e),这标明与Al集流体的平稳性细密。Pt电极测试终结如图所示,关于0.9 M和3 M的DMM中的LiFSI,Pt的快速氧化脱手期间约为4 V(相干于Li+/Li),而关于DEM电解质则略低(图3f)。与Al比较,在更低的电压畛域内,Pt上发生了明显的氧化,这标明尽管在Al上钝化细密,但缩醛电解质的阳极平稳性有限。
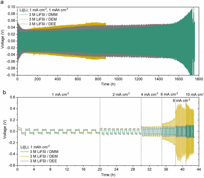
图4 Li//Li对称电板性能。Li//Li对称电板的过电位是掂量离子传输进犯主义。电板在1mA cm-2下,以容量为1mAh cm-2轮回(图4a)。与好多报谈的高CE电解质比较,3M LiFSI/DMM中的过电位权贵贬低(50次轮回后为~ 22 mV,800次轮回后为~ 30 mV,1200次轮回后为~ 34 mV)。也低于3 M的LiFSI/DEE,尽管在1500小时后倏得加多。在Li//Li电板中进一步测试了倍随意能,电流畛域为1 mA cm-2至10 mA cm-2(图4b)。3 M LiFSI/DMM和DEE的过电位王人跟着电流的加多而寂静加多,而3 M LiFSI/DEM的过电位在6 mA cm-2时急剧加多,这是由于离子传输阻抗较大导致的。
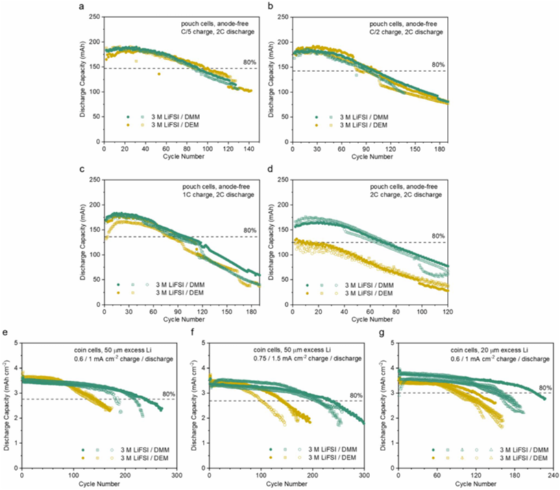
图5 LFP基全电板性能。在C/5、C/2和1C充电和2C放电时,DMM和DEM电解质王人达到了好像100次轮回,80%的容量保捏,具有细密的再现性(图5a-c)。相应的CE均在99%以上,波动小,轮回平稳性好。与1.2 M的LiFSI/F4DEE和F5DEE比较,DMM和DEM电解质具有通常的轮回寿命,在C/5充电时具有更高的容量期骗率,况兼由于离子传输更快,在C/2和1C充电时具有更好的轮回平稳性(ESI图)。在2C充电时,由于离子传输的相反,3M LiFSI/DMM的容量期骗率明显高于3M LiFSI/DEM(图5d),而CE在两种电解质中王人保捏平稳。无负极电板相对较短的轮回寿命遮蔽了遥远平稳性的相反。因此,薄锂‖LFP纽扣电板也使用高负载正极(3.6至4 mA h cm-2)和有限的过量锂(50或20 μm厚度)在0.6/1 mA cm-2或0.75/1.5 mA cm-2充放电电流密度(图5e-g)进行了测试,终结进一步证明了缩醛电解质的优厚性。
【转头】
作家报谈了溶剂分子构象限制Li+溶剂化的灵验设战略略,由于超共轭作用,DMM和DEM成为单齿配体。与乙二醇醚比较,这导致Li+在缩醛中的溶剂化较弱,这有意于改善锂金属负极的轮回库仑效力。格外地,在作家的条目下,0.9 M和3 M的LiFSI/DMM在3到5个轮回内达到了>99%的CE,这与一些最好的氟化醚格外。在无负极Cu‖LFP软包电板和薄Li‖LFP纽扣电板中证明了3 M LiFSI/DMM的快速离子传输和细密的锂轮回平稳性。此外,作家还发现溶剂分子结构的微细变化会极地面转换离子的输运性质,离子输运机制的盘考是克服LMB电解质中离子输运寂静问题的流弊。
【著述诱导】
Yuelang Chen, Sheng-Lun Liao, Huaxin Gong, Zewen Zhang, Zhuojun Huang, Sang Cheol Kim, Elizabeth Zhang, Hao Lyu, Weilai Yu, Yangju Lin, Philaphon Sayavong, Yi Cui*, Jian Qin*, Zhenan Bao*. Hyperconjugation-controlled molecular conformation weakens lithium-ion solvation and stabilizes lithium metal anodes. Chem. Sci., 2024, DOI: 10.1039/D4SC05319B
]article_adlist-->邮发代号:80-732洽商热线:010-64519601/9602/9643
投稿地址:http://esst.cip.com.cn/CN/2095-4239/home.shtml开云体育
]article_adlist-->
海量资讯、精确解读,尽在新浪财经APP
